| COMPUTATIONAL SIMULATION |
|
|
|
|
|
| The Contribution of Cu Precipitates to Hardening in α-Fe Matrix |
| Yankun DOU,Xinfu HE,Lixia JIA,Dongjie WANG,Shi WU,Wen YANG
|
| Reactor Engineering Technology Research Division, China Institute of Atomic Energy, Beijing 102413 |
|
|
|
|
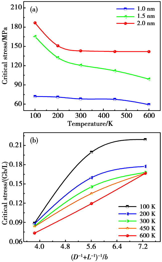
Abstract The interactions between coherent Cu precipitates with different sizes (0.5—2.5 nm) and a (111){110} edge dislocation in α-Fe matrix have been investigated by molecular dynamics method (MD). Moreover, the impacts of temperatures (100—600 K) and different interaction positions for the interaction of precipitates and dislocations have been further explored. It is found that the increase of precipitates size enhances obstacle strength for dislocation glide. The reason is that the increase of precipitates diameter will increase the intercept area when dislocations pass through precipitates of different sizes. However, the rise of temperature causes the reducing of obstacle strength. By comparison, increasing precipitates diameters from 1.0 nm to 2.0 nm, critical shear stress of systems under different temperature rise by an average of 0.096 Gb/L. And when the temperature is increased from 100 K to 600 K, the critical shear stress of systems containing Cu precipitates with diameters of 1—2 nm reduces by an average of 0.049 Gb/L. The results qualitatively indicate that the effect of precipitates size plays a more important role in obstacle strength of precipitates for dislocation glide than temperature. When dislocation passes through precipitates at different sites, the precipitate whose center plane is on the dislocation glide plane is found to be the strongest obstacle. When the glide plane is the same vertically far away from the center plane of precipitates, the precipitates whose center planes are below the glide planes are stronger obstacles than those above the glide planes. The bigger contribution from the interaction between the tensile stress field below the dislocation glide plane and compressive stress field of Cu precipitate resultes in stronger hindrance for the dislocation movement.
|
|
Published: 25 January 2018
Online: 2018-01-25
|
|
|
|
|
|
|
Model diagrams of interaction of the edge dislocation and Cu precipitate:(a)periodic cell for MD simulation; (b)models of dislocation passing through Cu precipitates in different sites
|
|
|
Stress-strain curves obtained for interaction between an edge dislocation, and Cu precipitates with diameter (D) in different sizes as indicated in α-Fe at 600 K (the insert is the corresponding critical shear stress)
|
|
|
Schematic diagrams of interaction between edge dislocations and different sizes of Cu precipitates in α-Fe at 600 K: (a)interaction between edge dislocations and Cu precipitates (1.5 nm); (b)pinning effect of edge dislocation detachment of different sizes of Cu precipitates
|
|
|
The critical stress for the interaction of dislocations and Cu precipitates with diameter of 1.0 nm,1.5 nm,2.0 nm: (a) temperature dependence of critical stress; (b) temperature and size dependence of critical stress
|
|
|
The morphology of Cu precipitates after the dislocation break away and the changing of shear stress-strain curves for the interactions of dislocations and Cu precipitates in different sites in α-Fe at 600 K: (a) the morphology of 1.5 nm Cu precipitates after the dislocation break away; (b—d) stress-strain curves for the interactions of edge dislocations and Cu precipitates with diameter of 1.0 nm, 1.5 nm and 2.0 nm in different sites; (e) the corresponding critical shear stress-site curves
|
| 1 | Debarberis L, Sevini F, Acosta B , et al. Irradiation embrittlement of model alloys and commercial steels: Analysis of similitude beha-viors[J]. International Journal of Pressure Vessels and Piping, 2002,79(8):637. | | 2 | Kryukov A, Debarberis L, Von Estorff U , et al. Irradiation embrittlement of reactor pressure vessel steel at very high neutron fluence[J]. Journal of Nuclear Materials, 2012,422(1):173. | | 3 | Ahlstrand R, Bièth M, Rieg C . Neutron embrittlement of VVER reactor pressure vessels-recent results, open issues and new developments[J]. Nuclear Engineering and Design, 2004,230(1):267. | | 4 | Gurovich B, Kuleshova E, Zabusov O , et al. Influence of structural parameters on the tendency of VVER-1000 reactor pressure vessel steel to temper embrittlement[J]. Journal of Nuclear Materials, 2013,435(1):25. | | 5 | Jia L X, He X F, Yang W . Atomistic simulation study on mechanism of solute precipitation in RPV after thermal ageing[J]. Atomic Energy Science and Tchnology, 2014,48(sl), 535(in Chinese). | | 6 | 贾丽霞, 贺新福, 杨文 . 热老化下RPV模型钢中溶质析出机理的原子尺度模拟研究[J], 原子能科学技术, 2014,48(增刊), 535. | | 7 | Kryukov A, Debarberis L, Von Estorff U , et al. Irradiation embrittlement of reactor pressure vessel steel at very high neutron fluence[J]. Journal of Nuclear Materials, 2012,422(1):173. | | 8 | Cheng G D, Cao X Z, Wu J P , et al. Advances in investigating micro-defects in Fe-Cu alloys using positron annihilation techniques[J]. Materials Review A: Review Papers, 2013,27(2):133(in Chinese). | | 9 | 成国栋, 曹兴忠, 吴建平 , 等. 应用正电子湮没谱学技术研究Fe-Cu合金微观缺陷的进展[J]. 材料导报:综述篇, 2013,27(2):133. | | 10 | Eldrup M, Singh B N . Study of defect annealing behavior in neutron irradiated Cu and Fe using positron annihilation and electrical conductivity[J]. Journal of nuclear materials, 2000,276(1):269. | | 11 | Hyde J M, English C A . An analysis of the structure of irradiation induced Cu-enriched clusters in low and high nickel welds[J]. MRS Online Proceedings Library Archive, 2000,650. | | 12 | Miller M K, Brenner S S . FIM/atom probe study of irradiated pressure vessel steels[J]. Res Mechanica, 1984,10(3):161. | | 13 | Pareige P, Auger P, Miloudi S, et al. Microstructural evolution of the CHOOZ A PWR surveillance program material: Small angle neutron scattering and tomographic atom probe studies [C]//Annales De Physique.Paris, 1997. | | 14 | Edmondson P D, Miller M K, Powers K A , et al. Atom probe tomography characterization of neutron irradiated surveillance samples from the RE Ginna reactor pressure vessel[J]. Journal of Nuclear Materials, 2016,470:147. | | 15 | Bergner F, Gillemot F, Hernández-Mayoral M , et al. Contributions of Cu-rich clusters, dislocation loops and nanovoids to the irradiation-induced hardening of Cu-bearing low-Ni reactor pressure vessel steels[J]. Journal of Nuclear Materials, 2015,461:37. | | 16 | Chaouadi R, Gérard R . Copper precipitate hardening of irradiated RPV materials and implications on the superposition law and re-irradiation kinetics[J]. Journal of Nuclear Materials, 2005,345(1):65. | | 17 | Kotrechko S, Dubinko V, Stetsenko N , et al. Temperature dependence of irradiation hardening due to dislocation loops and precipitates in RPV steels and model alloys[J]. Journal of Nuclear Materials, 2015,464:6. | | 18 | Takeuchi T, Kuramoto A, Kameda J , et al. Effects of chemical composition and dose on microstructure evolution and hardening of neutron-irradiated reactor pressure vessel steels[J]. Journal of Nuclear Materials, 2010,402(2):93. | | 19 | Miller M K, Sokolov M A, Nanstad R K , et al. APT characterization of high nickel RPV steels[J]. Journal of Nuclear Materials, 2006,351(1):187. | | 20 | Harry T, Bacon D J . Computer simulation of the core structure of the <111> screw dislocation in α-iron containing copper precipitates: I. structure in the matrix and a precipitate[J]. Acta Materialia, 2002,50(1):195. | | 21 | Nedelcu S, Kizler P, Schmauder S , et al. Atomic scale modelling of edge dislocation movement in the Fe-Cu system[J]. Modelling and Simulation in Materials Science and Engineering, 2000,8(2):181. | | 22 | Hu S Y, Schmauder S, Chen L Q . Atomistic simulations of interactions between Cu precipitates and an edge dislocation in a BCC Fe single crystal[J]. Physica Status Solidi(b), 2000,220(2):845. | | 23 | Lv G C, Zhang H, He X F , et al. Vacancy enhanced formation and phase transition of Cu-rich precipitates in α-iron under neutron irradiation[J]. AIP Advances, 2016,6(4):045004. | | 24 | Kohler C, Kizler P, Schmauder S . Atomistic simulation of precipitation hardening in α-iron: Influence of precipitate shape and chemical composition[J]. Modelling and Simulation in Materials Science and Engineering, 2004,13(1):35. | | 25 | Terentyev D, Malerba L . Interaction of a screw dislocation with Cu-precipitates, nanovoids and Cu-vacancy clusters in BCC iron[J]. Journal of Nuclear Materials, 2012,421(1):32. | | 26 | 4 Terentyev D, Malerba L, Bonny G , et al. Interaction of an edge dislocation with Cu-Ni-vacancy clusters in bcc iron[J]. Journal of Nuclear Materials, 2011,419(1):134. | | 27 | 5 Bacon D J, Osetsky Y N . Mechanisms of hardening due to copper precipitates in α-iron[J]. Philosophical Magazine, 2009,89(34-36):3333. | | 28 | 6 Osetsky Y N, Bacon D J, Mohles V . Atomic modelling of strengthening mechanisms due to voids and copper precipitates in α-iron[J]. Philosophical Magazine, 2003,83(31-34):3623. | | 29 | 7 Bonny G, Pasianot R C, Castin N , et al. Ternary Fe-Cu-Ni many-body potential to model reactor pressure vessel steels: First validation by simulated thermal annealing[J]. Philosophical magazine, 2009,89(34-36):3531. | | 30 | 8 Mendelev M I, Han S, Srolovitz D J , et al. Development of new interatomic potentials appropriate for crystalline and liquid iron[J]. Philosophical Magazine, 2003,83(35):3977. | | 31 | 9 Mishin Y, Farkas D, Mehl M J , et al. Interatomic potentials for monoatomic metals from experimental data and ab initio calculations[J]. Physical Review B, 1999,59(5):3393. | | 32 | 0 Pasianot R C, Malerba L . Interatomic potentials consistent with thermodynamics: the Fe-Cu system[J]. Journal of Nuclear Materials, 2007,360(2):118-127. | | 33 | Terentyev D, Haghighat S M H, Sch?ublin R . Strengthening due to Cr-rich precipitates in Fe-Cr alloys: Effect of temperature and precipitate composition[J]. Journal of Applied Physics, 2010,107(6):061806. | | 34 | Terentyev D, Malerba L, Bacon D J , et al. The effect of temperature and strain rate on the interaction between an edge dislocation and an interstitial dislocation loop in α-iron[J]. Journal of Physics:Condensed Matter, 2007,19(45):456211. | | 35 | 3 Minov B, Terentyev D, Van Renterghem , et al. Effect of low-temperature phase transition on mechanical behavior of Fe-Cu alloys[J]. Materials Science and Engineering:A, 2014,597:46. | | 36 | 4 Bilby B A, Miller K J, Willis J R . Fundamentals of deformation and fractures[R].Cambridge University Press, New York, 1985. | | 37 | 5 Scattergood R O, Bacon D J . The strengthening effect of voids[J]. Acta Metallurgica, 1982,30(8):1665. | | 38 | 6 Lv G, Zhang H, He X , et al. Atomistic simulation of Cu-Ni precipitates hardening in α-iron[J]. Journal of Physics D: Applied Physics, 2015,48(11):115302. | | 39 | 7 Hu S Y, Li Y L, Watanabe K . Calculation of internal stresses around Cu precipitates in the bcc Fe matrix by atomic simulation[J]. Modelling and Simulation in Materials Science and Engineering, 1999,7(4):641. |
|
|
|
|